논문을 상세히 번역하고 한단어씩 해석해주는 포스팅은 많다.
나는 논문을 누구나 알아듣도록 쉽고 간결하게 전달하고자 한다.
LLaVA-UHD
별로 기대하지 않고 본 논문인데 내용이 매ㅐㅐㅐㅐㅐㅐㅐㅐㅐ우 흥미롭다.
그리고 vision 하는 사람들의 진짜 고민인 부분을 잘 건드린 논문이라고 생각한다.
저자의 의도
visual 인코딩은 large multimodal models(LMM)의 기본 구성 요소다.
기존 LMM들은 고정된 사이즈와 제한된 해상도로 이미지를 처리한다.
이는 적합성, 효율성, 정확도에 영향을 주는 고질적인 시스템적 문제이다.
어떤 종횡비의 고해상도 이미지가 들어와도 효율적으로 처리하는 메서드를 찾아보자.
이미지 모듈화, 압축 레이어, 공간 스키마 3가지 방법을 제시한다.
(model overview)

기존 문제점
기존 LMM들은 다양한 종횡비 혹은 다양한 해상도의 이미지를 처리할 수 없다.
심지어 그게 1:1 종횡비의 224x224로 이미지가 블러처리 되거나 모양이 일그러진다.
이 때문에 세분화된 기능을 구현할 수 없고 할루시네이션 문제를 더 악화한다.
이 문제는 2가지 챌린지를 해결해야 가능해진다.
Adaptivity, 인코더가 애초에 224x224로 트레이닝 됐다. (ImageNet 학습)
Efficiency, ViT의 고질적인 문제로, 이미지가 커지면 2차함수로 연산량이 증가한다.
GPT-4V는 가장 강력한 모델, LLaVA-1.5는 오픈 소스 중 가장 강력한 모델.
이 두 모델로 실험하여 LMM의 시스템적 결함이 visual 인코딩에서 기인한 것을 증명해보자.
1. GPT-4V Experiments
OpenAI에서 제공하는 정보를 먼저 살펴보자.
GPT-4V는 이미지 처리에 저해상도 모드와 고해상도 모드 2개가 있다.
저해상도 모드에서는 오직 저해상도 overview 이미지로 처리한다.
고해상도 모드에서는 overview 이미지와 512x512 사이즈로 자른 슬라이스들을 함께 처리한다.
이 고해상도 모드는 새로나온 것인데 흥미로운 에러 패턴이 있다.
1-1. 이미지에서 위치가 주는 영향 분석

Fig 1 (a) 이미지를 주고 '원이 몇개야?' 라고 물어본다.
원의 위치를 바꿔가며 계속 똑같은 질문 프롬프트를 물어봤다.
도형의 색깔(빨, 초, 흰)과 도형의 종류(원, 삼각, 사각)도 바꿔봤다.
Fig 1 (b) 를 보자.
이건 각 포지션에 대해 15번 물어보고 평균값으로 히트맵을 그린 것이다.
여기서 정답은 '4개' 이다. 그런데 대부분의 영역에서 4 이상을 대답했다.
이것만 봐도 큰 상관관계를 발견할 수 있다.
256x256으로 자르면 3가지 패턴으로 나눌 수 있다.
먼저 가운데 부분, 가장 높은 숫자를 대답.
그리고 가운데 모서리, 1보다는 낮은 숫자를 대답.
마지막으로 코너부분, 가장 ground truth와 비슷하게 대답.
정답(4개)와 비슷한 답(3개, 5개)은 모든 영역에서 비슷하게 나왔다.
근데 이상하게 2배(8개), 4배(16개)에 대한 대답이 나온다는 것이다.
이런 패턴 때문에 (b)와 같은 히트맵이 나오는 것이다.
결과 히트맵 (b)와 OpenAI의 정보를 종합한 가설은,
512 사이즈로 자르기 때문에 슬라이스들 간에 overlap이 발생하기 때문이다.
이를 그림으로 나타내면 (e)와 같다.
768사이즈의 이미지가 512로 딱 잘리지 않기 때문에 총 4개의 슬라이스가 생성될 것이다.
따라서 2번 겹치는 부분은 2배를 4번 겹치는 부분을 4배를 대답하는 것으로 생각할 수 있다.
(Swin Transformer의 Shifted Window 냄새가 강하게 난다.)
1-2. 이미지에서 해상도가 주는 영향 분석

Fig 2 (a) 이미지를 주고 '원이 몇개야?' 라고 물어본다.
이미지의 해상도를 바꿔가며 계속 똑같은 질문 프롬프트를 물어봤다.
여기서 정답은 '9개' 이다. 마찬가지로 대부분 9 이상의 값을 대답했다.
Fig 2 (b), 이미지의 크기에 따라 3가지 페이즈로 볼 수 있다.
페이즈1, 이미지를 슬라이스 하지 않으므로 정답인 9개의 빈도가 높다.
페이즈2, 이미지가 슬라이스 되어 잘린 원에 의해 12개가 지배적이다.
페이즈3, 슬라이스 때문에 9개, 12개, 16개가 섞여 나온다.
이거 말고도 이상한 현상이 많은데 여기서 다루지는 않겠다.
실험을 통해 GPT의 고해상도 모드에서 사용하는 메서드에 문제가 있다는 것을 알 수 있다.
2. LLaVA-1.5 Experiments
LLaVA는 일단 이미지를 정사각형으로 만들기 위해 패딩을 넣는다.
일단 효율성 측면에서 패딩 픽셀을 연산하는 것은 비효율적이다.
효율성 말고도 또 다른 문제가 발생한다.

패딩의 다른 이슈는 패딩같은 회색 픽셀을 구분할 수 있는지 봐야한다.
이미지의 종횡비를 바꿔가며 가장 왼쪽/오른쪽/위/아래 색이 무엇인지 질문했다.
LLaVA가 회색 픽셀을 패딩으로 착각하고 초록색이라고 답했다.
원래는 회색이라고 대답해야 하는데 이걸 패딩으로 착각하고 초록색이라고 말한다는 것이다.
3. Conclusions on Pilot Experiments
강력한 LMM인 GPT-4V와 LLaVA-1.5에 시스템적 결함이 존재한다.
GPT의 Swin을 닮은 slice 방식, LLaVA의 패딩 방식.
두 visual 인코딩 전략 말고 새로 디자인할 필요가 있다.
해결 아이디어
1. Modularized Visual Encoding
이미지를 잘라서 다양한 크기의 슬라이스로 만들어 인코딩 한다.
1-1. 기존 전략 2D linear interpolation
기존 방법, 다양한 종횡비를 처리하기 위해 ViT는 interpolation을 사용한다.
예를 들면 ViT는 16 사이즈의 패치 (14x14개)가 디폴트이다.
들어온 이미지를 패치로 쪼갰더니 (18x18개), (16x9개)와 같이 안맞는다.
(14x14개)의 위치 임베딩 격자점을 새로운 격자점에 맞게 대응시킨다.
이때 사용하는 알고리즘은 2D linear interpolation 이다.
이건 복잡한 수식은 없고 linear projection에 가까운 알고리즘이다.
그런데 이 접근법은 quadratic하게 증가하는 연산량과 성능 저하를 가져온다.
1-2. 새로운 전략
들어오는 이미지를 다양한 크기의 슬라이스 조각으로 자른다.
이 슬라이스의 모양이 ViT가 학습했던 크기에서 크게 벗어나지 않게 한다.
패딩도 필요없고 형태가 왜곡되는 reshape을 하지 않아도 된다.
그래서 어떻게??? 가 다음에 나온다.
1-3. High-resolution image partition strategy
최적의 슬라이스를 찾는 방법이 무엇인지 보자.
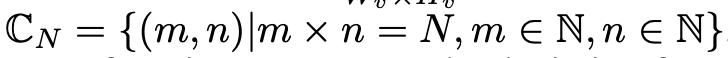
입력 이미지의 해상도(W_I, H_I)
ViT의 프리트레이닝 해상도(W_v, H_v)
슬라이스의 총 개수(N), 슬라이스의 컬럼 수(m), 로우 수(n)


위 식으로 N을 먼저 구한 뒤 이미지를 쪼갤 수 있는 경우의 수 C를 구한다.
경우의 수 C개의 방법을 모두 평가해보고 가장 'ViT가 학습했던 크기'와 유사한 경우를 정한다.
그 경우를 평가하는 함수가 S다.

스코어 함수 S는 Equation 1 이다.
프리트레이닝 종횡비와 비슷할 수록 S가 높아진다.
따라서 S가 높을수록 최적의 슬라이스이다.
이 과정이 아래 그림에 잘 표현되어 있다.
(N이 6.5처럼 딱 떨어지지 않으면 반올림한 7의 앞뒤 수인 6, 7, 8 모두를 고려함)


경우의 수 C를 탐색할 때 m과 n이 등장하는데 이건 Equation 2에 나온다.
Equation 2는 소수와 인수분해를 이용한다.
더 최적의 슬라이스를 선택하는 수학적인 방법에 대한 설명이다.
(몰라도 괜찮다)
1-4. Arbitrary aspect ratio slice encoding

기존 모델은 고정된 슬라이스 사이즈 때문에 종횡비에 대한 적응력이 매우 부족하다.
이것을 해결하기 위해 이 모델은 원래 이미지의 종횡비와 비례하게 리사이즈 한다.
쉽게 말하면 ViT 패치의 사이즈로 딱 맞아 떨어질 만큼 이미지를 키운다.
이제 각 슬라이스는 패딩도 겹치는 부분도 없는 완벽한 슬라이스다.
ViT의 1D 포지션 임베딩을 2D 포멧 으로 바꾼다. (차원 l 추가)
그리고 나서 2D position embedding interpolation으로 2D 포멧을 처리한다.
2. Compression layer

압축 레이어에 의해 visual 토큰이 적당한 길이로 응축된다.
고해상도 이미지는 LLM에 엄청난 양의 visual 토큰 처리를 요구한다.
이를 해결하기 위해 각각의 이미지 슬라이스의 토큰을 더 작은 개수로 압축한다. (576 -> 64)
이 토큰을 고르는 것에 shared perceiver resampler layer를 사용한다.
크로스 어텐션을 통해 쿼리 벡터 세트를 사용한다.
이 논문에서 사용한 방식을 리샘플러 방식이라고 부른다.
당연하게 기존 방법이 생각날 것이다.
MLP로 그냥 새 알고리즘을 찾거나 MaxPooling 방식이 있다.
리샘플러 방식은 해상도와 관계없이 고정된 수의 visual 토큰을 유지한다.
따라서 MLP를 사용해서 압축하는 방법보다 더 낫다. (Ablation 증명)
3. Spatial schema

응축된 슬라이스 토큰을 공간 스키마에 정리해서 위치가 어딘지 파악하게 해준다.
공간 스키마를 디자인해 이미지 슬라이스들의 상대적 위치를 알려준다.
콤마와 줄바꿈을 사용해서 슬라이스 representation의 행렬을 구분한다.
위 그림을 보면 , 와 \n 이 있는데 이걸 말하는 것이다.
그래서 다시 한번 전체 모델을 보자면.

결과 분석
1. Implementation details
LLaVA-1.5를 개조한 LLaVA-UHD를 사용한다.
CLIP-ViT-L/14가 visual 인코더로 사용된다.
Vicuna-13B이 shared visual resampler로 사용된다.
트레이닝 스테이지 1, visual resampler 학습, CC-595K 데이터셋, 1 epoch, AdamW
트레이닝 스테이지 2, visual 인코더 frozen, visual resampler, LLM 학습, 656K mixture 데이터셋(LLaVA-Instruct, TextVQA, GQA, OCR-VQA, Visual Genome)
2. Main results

LLaVA-UHD가 대부분의 벤치마크에서 가장 뛰어났다.
심지어 Qwen-VL, InstructBLIP 처럼 추가 데이터셋을 사용한 경우와 1B이 넘는 모델들 보다도 좋은 성능이다.
LLaVA-1.5 backbone의 성능을 크게 향상시켰다.
인퍼런스 연산량은 줄면서 더 큰 해상도의 모든 종횡비의 이미지를 처리할 수 있다.
3. Ablation study

LLaVA-1.5의 패딩 전략을 LLaVA-UHD의 adaptive 방식으로 변경해봤다.
LLaVA-UHD의 resampler 방식을 MLP 방식으로 변경해봤다.
FP는 파티션 전략을 추가한 것이다.
spatial schema를 제거해봤다.
MLP가 아닌 resampler를 사용하면 FLOPs가 엄청나게 줄어든다.
다른 케이스들은 퍼포먼스 감소가 있었다.
코드 및 구현
'논문리뷰' 카테고리의 다른 글
| [논문 리뷰] DINO 요약, 코드, 구현 (0) | 2024.07.11 |
|---|---|
| [논문 리뷰] CAE(Context Autoencoder) 요약, 코드, 구현 (0) | 2024.06.25 |
| [논문 리뷰] MambaOut 요약, 코드, 구현 (1) | 2024.06.11 |
| [논문 리뷰] MoCo v3 요약, 코드, 구현 (0) | 2024.06.04 |
| [논문 리뷰] MoCo v2 요약, 코드, 구현 (0) | 2024.05.27 |